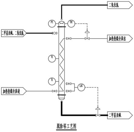
1.本發明屬于二甲基亞砜分離二氧化氮技術領域,具體地而言為一種脫除二甲基亞砜中二氧化氮的方法。背景技術:2.二甲基亞砜是典型的精細化工產品。是電子、碳纖維、醫藥、農藥、有機合成等領域中的重要中間體,具
1.本發明涉及一種惡唑衍生物及其合成方法,屬于化合物制備技術領域。背景技術:2.公開該背景技術部分的信息旨在增加對本發明總體背景的理解,而不必然被視為承認或以任何形式暗示該信息構成已經成為本領域一般技
1.本發明涉及數據傳輸技術領域,尤其涉及一種適用于高帶寬延遲系統的傳輸協議方法。背景技術:2.目前,在網絡中進行文件傳輸所使用的傳輸層協議,常用的有tcp(傳輸控制協議)和udp(用戶數據報協議)。3
1.本發明涉及一種基于自注意力的非線性補償方法,屬于光通信技術領域。背景技術:2.在光通信系統中,由于系統傳輸容量和傳輸速率的要求不斷提高,因此在幅度、相位、頻率等傳統的調制方式之外,又出現了軌道角動
1.本發明涉及地基作業振沖施工技術領域,具體涉及基于智能控制振沖的制樁方法。背景技術:2.振沖施工質量關系到水電工程的地基安全,振沖施工工序為引孔、造孔、制樁三個步驟。振沖樁就是運用振動的方式在那些存
1.本發明屬于二苯甲酰二硫化硫胺的提純領域,具體涉及一種二苯甲酰二硫化硫胺的精制方法。背景技術:2.二苯甲酰二硫化硫胺是一種二硫化硫胺的衍生物,化學式為c38h42n8o6s2,為白色固體,用于維生素
基于qmax卡的測定裝置和方法1.交叉引用2.本技術要求2017年2月8日提交的美國臨時專利申請第62/456,488號,2017年2月8日提交的美國臨時專利申請第62/456,612號,2017年2
一種pcvⅱ型cap蛋白純化方法技術領域1.本發明涉及生物醫藥領域,尤其是豬圓環病毒疫苗(porcine circovirus,pcv)中pcvⅱ型cap蛋白純化方法。背景技術:2.豬圓環病毒疫苗(p
1.本發明涉及車輛自組織網絡中的v2v通信技術,具體涉及應用于二維與三維場景的車輛中繼節點切換機制。背景技術:2.車聯網作為現代智能交通的重要組成部分,在智能交通方面應用十分廣泛。其中,緊急消息廣播作
1.本發明屬于粉末冶金技術領域,尤其涉及一種制取金屬粉末的方法及設備。背景技術:2.①現有的從鋁鎳基耐熱合金中制取窄粒度球形粉末的方法(專利ru 2681022 c1)[1]。該方法分為兩個階段,在初
制備a,β-不飽和酮的方法1.本發明涉及一種通過烯烴氧化制備a,β-不飽和酮(烯酮)的方法。該方法適用于工業過程,并且特別適用于制造香料領域感興趣的a,β-不飽和酮。2.烯烴到烯酮的烯丙基氧化是一種化
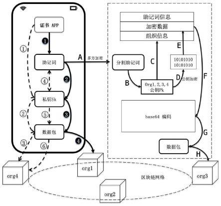
1.本發明涉及數字加密領域,尤其涉及一種基于聯盟鏈的用戶私鑰生成與存儲方法。背景技術:2.當前用戶私鑰生成后一般由用戶存儲或交由單獨第三方機構代管。用戶存儲如果保存得當,安全性最高,但缺點也明顯,容易
1.本發明涉及半導體領域,具體涉及一種載板與晶圓鍵合與解鍵合的方法。背景技術:2.半導體材料可分為單質半導體及化合物半導體兩類,前者如硅(si)、鍺(ge)等所形成的半導體,后者為砷化鎵(gaas)、
1.本發明屬于齒輪制造領域,尤其是針對面齒輪蝸桿砂輪的連續修整,具體涉及一種直齒面齒輪蝸桿砂輪在連續修整中出現的干涉檢查方法。背景技術:2.面齒輪是航空發動機中至關重要的傳動部件,其具有的接觸性能良好
1.本發明涉及一種融合低秩核學習和自適應超圖的圖像聚類方法,可用于模式識別中的圖像聚類領域。背景技術:2.圖像數據的聚類分析具有廣泛的研究和應用前景。在計算機視覺和模式識別領域,圖像是一種最普遍的視覺
1.本發明涉及一種選擇性激光燒結的超高分子量聚乙烯材料的熱處理方法,具體是一種對超高分子量聚乙烯(uhmwpe)零件進行熱處理時充入無色、無味、無毒的保護氣體的工藝方法,保證uhmwpe零件在熱處理過
1.本發明涉及機場道面施工維護技術領域,具體涉及一種機場道面局部破損區域快速搶修方法。背景技術:2.目前我國機場相對較多,區域分散,并且存在突發性道面的破環的情況,需要對機場跑道局部結構層均進行搶修作
使用增強二次變換的編解碼視頻處理1.相關申請的交叉引用2.根據適用的專利法和/或巴黎公約的規則,提出本技術旨在及時要求于2020年3月25日提交的國際專利申請第pct/cn2020/081174號的優
一種車用co2熱管理系統、工作方法及車輛技術領域1.本發明屬于車用熱管理技術領域,具體涉及一種車用co2熱管理系統、工作方法及車輛。背景技術:2.電動汽車由于缺少發動機這一巨大熱源,冬季熱量不足,車內
一種鐳射孔及通孔同時電鍍的pcb加工方法技術領域1.本發明涉及一種鐳射孔及通孔同時電鍍的pcb加工方法,屬于pcb板制作技術領域。背景技術:2.隨著pcb向高密度布線方向設計,越來越多pcb板設計了鐳
免疫組庫正常性評估方法及其應用1.本技術是國際申請日為2016年9月29日、國際申請號為pct/us2016/054469于2018年3月22日進入中圍國家階段、申請號201680055322.3、發
1.本技術屬于有機合成技術領域,具體涉及一種非貴金屬條件下烯-炔胺類化合物氧化/環化反應方法。背景技術:2.基于過渡金屬作為催化劑和氮氧化物作為氧轉移試劑的炔烴的分子間氧化 /環化的合成策略,由于避免
1.本發明涉及焦爐悶爐技術領域,具體是一種帶焦常壓焦爐分段悶爐方法。背景技術:2.一般出現下列情況,煉焦用煤供應不足,焦炭外運困難,焦爐生產設備的大中修,焦爐生產設備較大規模的改造等,若延長結焦時間無
1.本發明涉及復合材料的制備技術領域,具體涉及一種大型復合材料錐管的制造方法。背景技術:2.復合材料由于具有比剛度和比強度高、質量輕等一系列優勢,在航空航天、軌道交通等多個領域得到了廣泛地應用。特別的
一種星載sar立體測量輔助的干涉相位圖解纏繞方法技術領域1.本發明屬于圖像處理技術領域,具體涉及一種星載sar立體測量輔助的干涉相位圖解纏繞方法。背景技術:2.dem是描述地球表面形狀的三維數字模型,